Упражнение 37.10 ГДЗ Мордкович Семенов 9 класс (Алгебра)
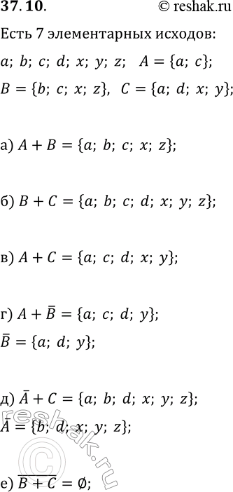
37.10. У испытания 7 элементарных событий (исходов испытания): a, b, c, d, x, y, z. Рассматривают 3 случайных события при проведении этого испытания:

Ниже вариант решения задания из учебника Мордкович, Семенов, Александрова 9 класс, Бином:
37.10. У испытания 7 элементарных событий (исходов испытания): a, b, c, d, x, y, z. Рассматривают 3 случайных события при проведении этого испытания:
A={a, c}, B={b, c, x, z}, C={a, d, x, y}.
Составьте случайное событие:
а) A+B; в) A+C; д) !A+C;
б) B+C; г) A+!B; е) !(B+C).
