Упражнение 37.9 ГДЗ Мордкович Семенов 9 класс (Алгебра)
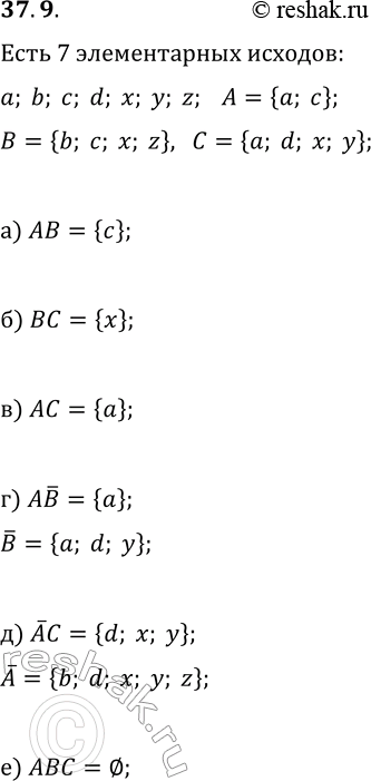
37.9. У испытания 7 элементарных событий (исходов испытания): a, b, c, d, x, y, z. Рассматривают 3 случайных события при проведении этого испытания:

Ниже вариант решения задания из учебника Мордкович, Семенов, Александрова 9 класс, Бином:
37.9. У испытания 7 элементарных событий (исходов испытания): a, b, c, d, x, y, z. Рассматривают 3 случайных события при проведении этого испытания:
A={a, c}, B={b, c, x, z}, C={a, d, x, y}.
Составьте случайное событие:
а) AB; в) AC; д) !AC;
б) BC; г) A!B; е) ABC.
