Упражнение 7.9 ГДЗ Мордкович Семенов 9 класс (Алгебра)
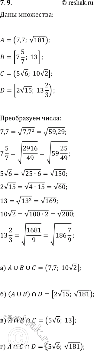
7.9. Даны множества A=(7,7; v181), B=[7 5/7; 13], C=(5v6; 10v2] и D=[2v15; 13 2/3). Найдите и изобразите на числовой прямой множество:
![Решение задачи: 7.9. Даны множества A=(7,7; v181), B=[7 5/7; 13], C=(5v6; 10v2] и D=[2v15; 13 2/3). Найдите и изобразите на числовой прямой множество:](solutions/algebra/9/626/1-7-9.png)
Ниже вариант решения задания из учебника Мордкович, Семенов, Александрова 9 класс, Бином:
7.9. Даны множества A=(7,7; v181), B=[7 5/7; 13], C=(5v6; 10v2] и D=[2v15; 13 2/3). Найдите и изобразите на числовой прямой множество:
а) A?B?C; в) A?B?C;
б) (A?B)?D; г) A?C?D.
