Упражнение 7.8 ГДЗ Мордкович Семенов 9 класс (Алгебра)
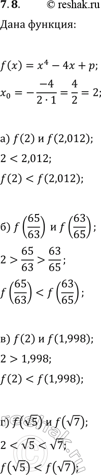
7.8. Дана функция y=f(x), где f(x)=x^2-4x+p. Известно, что параметр р может принимать любые действительные значения. Не вычисляя значение функции, сравните: а) f(2) и f(2,012);

Ниже вариант решения задания из учебника Мордкович, Семенов, Александрова 9 класс, Бином:
7.8. Дана функция y=f(x), где f(x)=x^2-4x+p. Известно, что параметр р может принимать любые действительные значения. Не вычисляя значение функции, сравните:
а) f(2) и f(2,012); в) f(2) и f(1,998);
б) f(65/63) и f(63/65); г) f(v5) и f(v7).
