Упражнение 7.7 ГДЗ Мордкович Семенов 9 класс (Алгебра)
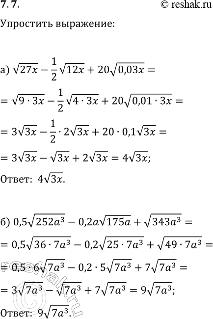
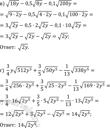
7.7. Упростите выражение: а) v(27x)-(1/2)v(12x)+20v(0,03x); б) 0,5v(252a^3)-0,2av(175a)+v(343a^3); в) v(18y)-0,5v(8y)-0,1v(200y); г) (3/4)yv(512y^3)+(3/5)v(50y^5)-(1/13)v(338y^5). *Цитирирование задания со ссылкой на учебник производится исключительно в учебных целях для лучшего понимания разбора решения задания.


Ниже вариант решения задания из учебника Мордкович, Семенов, Александрова 9 класс, Бином:
7.7. Упростите выражение:
а) v(27x)-(1/2)v(12x)+20v(0,03x);
б) 0,5v(252a^3)-0,2av(175a)+v(343a^3);
в) v(18y)-0,5v(8y)-0,1v(200y);
г) (3/4)yv(512y^3)+(3/5)v(50y^5)-(1/13)v(338y^5).
