Упражнение 7.5 ГДЗ Мордкович Семенов 9 класс (Алгебра)
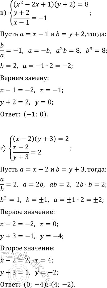
7.5. Решите систему уравнений методом введения новых переменных: а) {(x-3)(y-4)=8, (x-3)/(y-4)=2}; г) {(x-2)(y+3)=2, (x-2)/(y+3)=2}; б) {(x+1)(y+2)=18, (x+1)/(y+2)=2}; д) {(x+7)(y+1)=48, (x+7)/(y+1)=3}; в) {(x^2-2x+1)(y+2)=8, (y+2)/(x-1)=-1};



Ниже вариант решения задания из учебника Мордкович, Семенов, Александрова 9 класс, Бином:
7.5. Решите систему уравнений методом введения новых переменных:
а) {(x-3)(y-4)=8, (x-3)/(y-4)=2}; г) {(x-2)(y+3)=2, (x-2)/(y+3)=2};
б) {(x+1)(y+2)=18, (x+1)/(y+2)=2}; д) {(x+7)(y+1)=48, (x+7)/(y+1)=3};
в) {(x^2-2x+1)(y+2)=8, (y+2)/(x-1)=-1}; е) {(x-4)(y^2+2y+1)=16, (y+1)/(x-4)=-4}.
