Упражнение 9.10 ГДЗ Мордкович Семенов 9 класс (Алгебра)
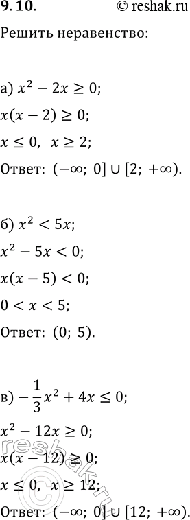
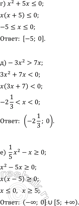
9.10. Решите неравенство: а) x^2-2x?0; г) x^2+5x?0; б) x^2 7x; в) (-1/3)x^2+4x?0; е) (1/5)x^2-x?0. *Цитирирование задания со ссылкой на учебник производится исключительно в учебных целях для лучшего понимания разбора решения задания.


Ниже вариант решения задания из учебника Мордкович, Семенов, Александрова 9 класс, Бином:
9.10. Решите неравенство:
а) x^2-2x?0; г) x^2+5x?0;
б) x^2 7x;
в) (-1/3)x^2+4x?0; е) (1/5)x^2-x?0.
