Упражнение 9.7 ГДЗ Мордкович Семенов 9 класс (Алгебра)
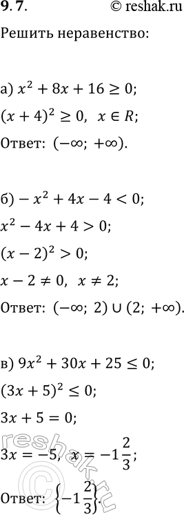
9.7. Решите неравенство: а) x^2+8x+16?0; г) x^2-10x+25?0; б) -x^2+4x-4 0; в) 9x^2+30x+25?0; е) -49x^2+28x-4?0. *Цитирирование задания со ссылкой на учебник производится исключительно в учебных целях для лучшего понимания разбора решения задания.


Ниже вариант решения задания из учебника Мордкович, Семенов, Александрова 9 класс, Бином:
9.7. Решите неравенство:
а) x^2+8x+16?0; г) x^2-10x+25?0;
б) -x^2+4x-4 0;
в) 9x^2+30x+25?0; е) -49x^2+28x-4?0.
