Упражнение 9.5 ГДЗ Мордкович Семенов 9 класс (Алгебра)
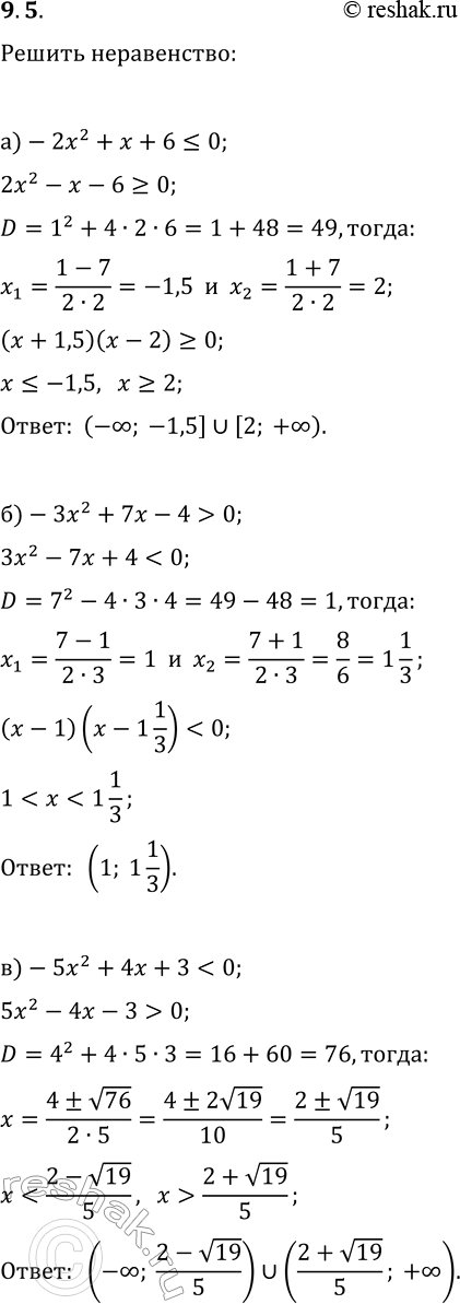
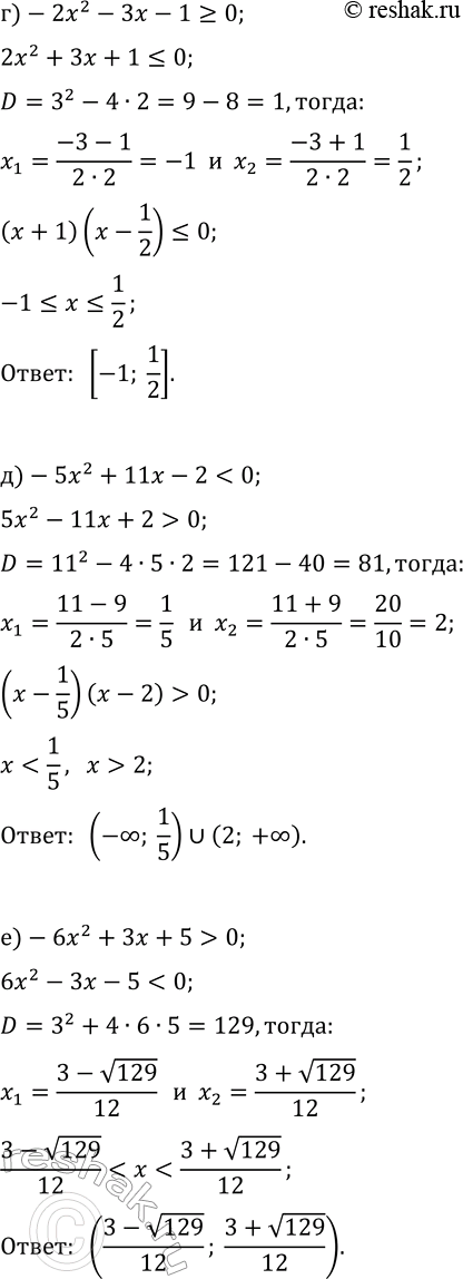
9.5. Решите неравенство: а) -2x^2+x+6?0; г) -2x^2-3x-1?0; б) -3x^2+7x-4 > 0; д) -5x^2+11x-2 в) -5x^2+4x+3 0. *Цитирирование задания со ссылкой на учебник производится исключительно в учебных целях для лучшего понимания разбора решения задания.


Ниже вариант решения задания из учебника Мордкович, Семенов, Александрова 9 класс, Бином:
9.5. Решите неравенство:
а) -2x^2+x+6?0; г) -2x^2-3x-1?0;
б) -3x^2+7x-4 > 0; д) -5x^2+11x-2
в) -5x^2+4x+3 0.
