Упражнение 9.9 ГДЗ Мордкович Семенов 9 класс (Алгебра)
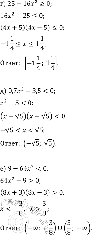
9.9. Решите неравенство: а) 9x^2-16 б) 0,3x^2-0,6x?0; д) 0,7x^2-3,5 в) 25-4x^2 > 0; е) 9-64x^2 *Цитирирование задания со ссылкой на учебник производится исключительно в учебных целях для лучшего понимания разбора решения задания.
Ниже вариант решения задания из учебника Мордкович, Семенов, Александрова 9 класс, Бином:
9.9. Решите неравенство:
а) 9x^2-16
б) 0,3x^2-0,6x?0; д) 0,7x^2-3,5
в) 25-4x^2 > 0; е) 9-64x^2


