Упражнение 9.6 ГДЗ Мордкович Семенов 9 класс (Алгебра)
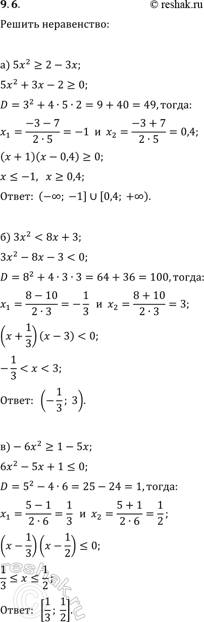
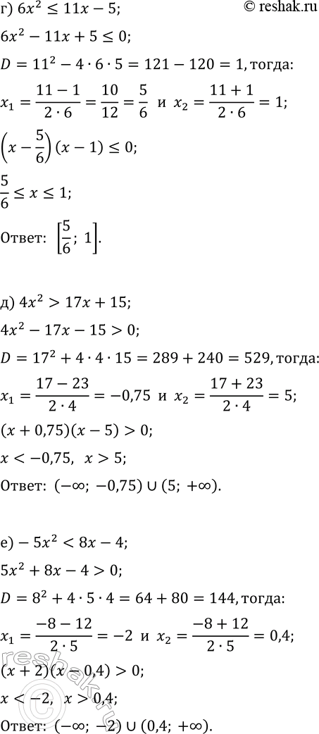
9.6. Решите неравенство: а) 5x^2?2-3x; г) 6x^2?11x-5; б) 3x^2 в) -6x^2?1-5x; е) -5x^2 *Цитирирование задания со ссылкой на учебник производится исключительно в учебных целях для лучшего понимания разбора решения задания.
Ниже вариант решения задания из учебника Мордкович, Семенов, Александрова 9 класс, Бином:
9.6. Решите неравенство:
а) 5x^2?2-3x; г) 6x^2?11x-5;
б) 3x^2
в) -6x^2?1-5x; е) -5x^2


