Упражнение 9.2 ГДЗ Мордкович Семенов 9 класс (Алгебра)
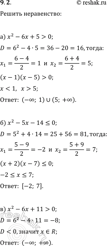
9.2. Решите неравенство: а) x^2-6x+5 > 0; г) x^2-5x+4 б) x^2-5x-14?0; д) x^2+4x+32?0; в) x^2-6x+11 > 0; е) x^2+8x+12 > 0.


Ниже вариант решения задания из учебника Мордкович, Семенов, Александрова 9 класс, Бином:
9.2. Решите неравенство:
а) x^2-6x+5 > 0; г) x^2-5x+4
б) x^2-5x-14?0; д) x^2+4x+32?0;
в) x^2-6x+11 > 0; е) x^2+8x+12 > 0.
