Упражнение 9.4 ГДЗ Мордкович Семенов 9 класс (Алгебра)
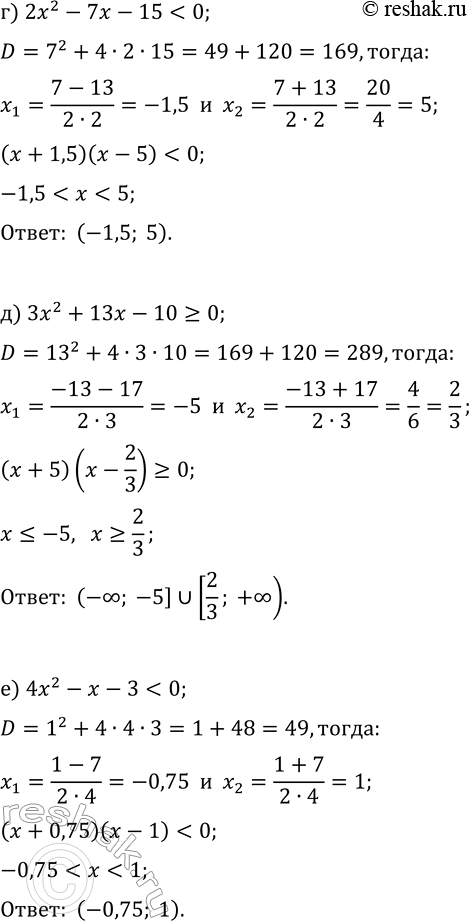
9.4. Решите неравенство: а) 2x^2-5x-3 > 0; г) 2x^2-7x-15 б) 3x^2+7x+2?0; д) 3x^2+13x-10?0; в) 5x^2-26x+5?0; е) 4x^2-x-3 *Цитирирование задания со ссылкой на учебник производится исключительно в учебных целях для лучшего понимания разбора решения задания.
Ниже вариант решения задания из учебника Мордкович, Семенов, Александрова 9 класс, Бином:
9.4. Решите неравенство:
а) 2x^2-5x-3 > 0; г) 2x^2-7x-15
б) 3x^2+7x+2?0; д) 3x^2+13x-10?0;
в) 5x^2-26x+5?0; е) 4x^2-x-3


