Упражнение 9.3 ГДЗ Мордкович Семенов 9 класс (Алгебра)
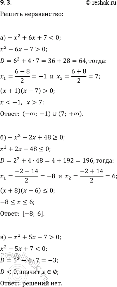
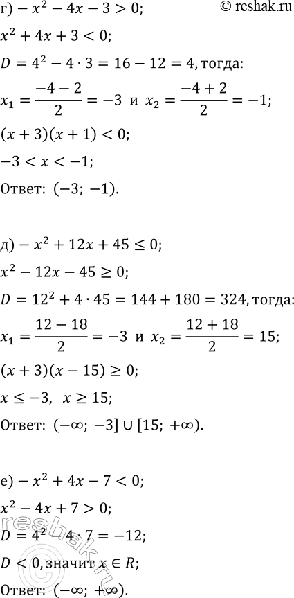
9.3. Решите неравенство: а) -x^2+6x+7 0; б) -x^2-2x+48?0; д) -x^2+12x+45?0; в) -x^2+5x-7 > 0; е) -x^2+4x-7 *Цитирирование задания со ссылкой на учебник производится исключительно в учебных целях для лучшего понимания разбора решения задания.


Ниже вариант решения задания из учебника Мордкович, Семенов, Александрова 9 класс, Бином:
9.3. Решите неравенство:
а) -x^2+6x+7 0;
б) -x^2-2x+48?0; д) -x^2+12x+45?0;
в) -x^2+5x-7 > 0; е) -x^2+4x-7
