Упражнение 11.20 ГДЗ Мерзляк 10 класс Углубленный уровень (Алгебра)
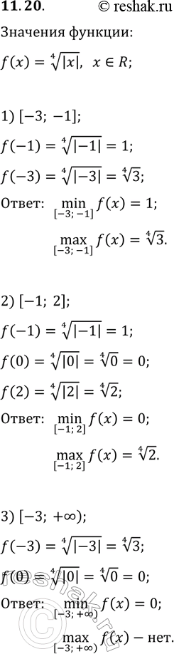
11.20. Найдите наибольшее и наименьшее значения функции f(x)=|x|^(1/4) на промежутке: 1) [-3; -1]; 2) [-1; 2]; 3) [-3; +?). *Цитирирование задания со ссылкой на учебник производится исключительно в учебных целях для лучшего понимания разбора решения задания.
![Решение задачи: 11.20. Найдите наибольшее и наименьшее значения функции f(x)=|x|^(1/4) на промежутке: 1) [-3; -1]; 2) [-1; 2]; 3) [-3; +?). *Цитирирование задания со ссылкой на учебник производится исключительно в учебных целях для лучшего понимания разбора решения задания.](solutions/algebra/10/635/1-11-20.png)
Ниже вариант решения задания из учебника Мерзляк, Номировский, Поляков 10 класс, Просвещение:
11.20. Найдите наибольшее и наименьшее значения функции f(x)=|x|^(1/4) на промежутке:
1) [-3; -1]; 2) [-1; 2]; 3) [-3; +?).
