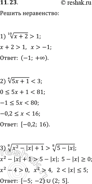
Упражнение 11.23 ГДЗ Мерзляк 10 класс Углубленный уровень (Алгебра)
11.23. Решите неравенство: 1) (x+2)^(1/10) > 1; 2) (5x+1)^(1/4) 3) (x^2-|x|+1)^(1/8) > (5-|x|)^(1/8). *Цитирирование задания со ссылкой на учебник производится исключительно в учебных целях для лучшего понимания разбора решения задания.

Ниже вариант решения задания из учебника Мерзляк, Номировский, Поляков 10 класс, Просвещение:
11.23. Решите неравенство:
1) (x+2)^(1/10) > 1;
2) (5x+1)^(1/4)
3) (x^2-|x|+1)^(1/8) > (5-|x|)^(1/8).
