Упражнение 11.21 ГДЗ Мерзляк 10 класс Углубленный уровень (Алгебра)
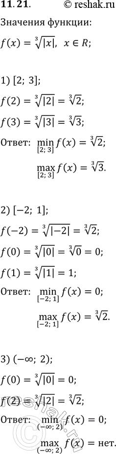
11.21. Найдите наибольшее и наименьшее значения функции f(x)=|x|^(1/3) на промежутке: 1) [2; 3]; 2) [-2; 1]; 3) (-?; 2). *Цитирирование задания со ссылкой на учебник производится исключительно в учебных целях для лучшего понимания разбора решения задания.
![Решение задачи: 11.21. Найдите наибольшее и наименьшее значения функции f(x)=|x|^(1/3) на промежутке: 1) [2; 3]; 2) [-2; 1]; 3) (-?; 2). *Цитирирование задания со ссылкой на учебник производится исключительно в учебных целях для лучшего понимания разбора решения задания.](solutions/algebra/10/635/1-11-21.png)
Ниже вариант решения задания из учебника Мерзляк, Номировский, Поляков 10 класс, Просвещение:
11.21. Найдите наибольшее и наименьшее значения функции f(x)=|x|^(1/3) на промежутке:
1) [2; 3]; 2) [-2; 1]; 3) (-?; 2).
