Упражнение 11.25 ГДЗ Мерзляк 10 класс Углубленный уровень (Алгебра)
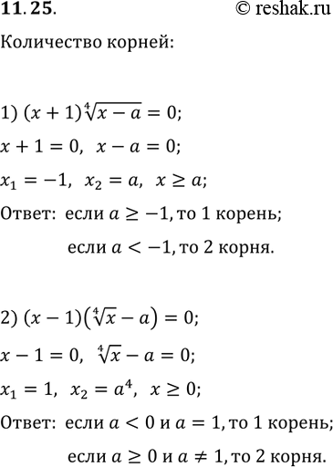
11.25. В зависимости от значения параметра а определите количество корней уравнения: 1) (x+1)(x-a)^(1/4)=0; 2) (x-1)(x^(1/4)-a)=0. *Цитирирование задания со ссылкой на учебник производится исключительно в учебных целях для лучшего понимания разбора решения задания.

Ниже вариант решения задания из учебника Мерзляк, Номировский, Поляков 10 класс, Просвещение:
11.25. В зависимости от значения параметра а определите количество корней уравнения:
1) (x+1)(x-a)^(1/4)=0; 2) (x-1)(x^(1/4)-a)=0.
