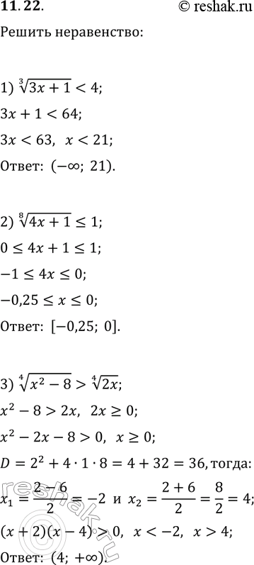
Упражнение 11.22 ГДЗ Мерзляк 10 класс Углубленный уровень (Алгебра)
11.22. Решите неравенство: 1) (3x+1)^(1/3) 2) (4x+1)^(1/8)?1; 3) (x^2-8)^(1/4) > (2x)^(1/4). *Цитирирование задания со ссылкой на учебник производится исключительно в учебных целях для лучшего понимания разбора решения задания.

Ниже вариант решения задания из учебника Мерзляк, Номировский, Поляков 10 класс, Просвещение:
11.22. Решите неравенство:
1) (3x+1)^(1/3)
2) (4x+1)^(1/8)?1;
3) (x^2-8)^(1/4) > (2x)^(1/4).
