Упражнение 13.3 ГДЗ Мерзляк 10 класс Углубленный уровень (Алгебра)
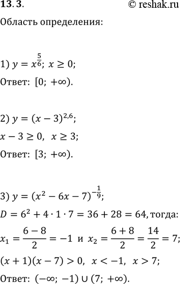
13.3. Найдите область определения функции: 1) y=x^(5/6); 2) y=(x-3)^2,6; 3) y=(x^2-6x-7)^(-1/9). *Цитирирование задания со ссылкой на учебник производится исключительно в учебных целях для лучшего понимания разбора решения задания.

Ниже вариант решения задания из учебника Мерзляк, Номировский, Поляков 10 класс, Просвещение:
13.3. Найдите область определения функции:
1) y=x^(5/6); 2) y=(x-3)^2,6; 3) y=(x^2-6x-7)^(-1/9).
