Упражнение 13.4 ГДЗ Мерзляк 10 класс Углубленный уровень (Алгебра)
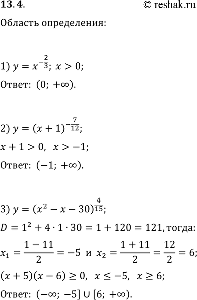
13.4. Найдите область определения функции: 1) y=x^(-2/3); 2) y=(x+1)^(-7/12); 3) y=(x^2-x-30)^(4/15). *Цитирирование задания со ссылкой на учебник производится исключительно в учебных целях для лучшего понимания разбора решения задания.

Ниже вариант решения задания из учебника Мерзляк, Номировский, Поляков 10 класс, Просвещение:
13.4. Найдите область определения функции:
1) y=x^(-2/3); 2) y=(x+1)^(-7/12); 3) y=(x^2-x-30)^(4/15).
