Упражнение 13.8 ГДЗ Мерзляк 10 класс Углубленный уровень (Алгебра)
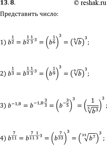
13.8. Известно, что b — положительное число. Представьте в виде куба выражение: 1) b^(1/2); 2) b^(1/3); 3) b^(-1,8); 4) b^(7/11). *Цитирирование задания со ссылкой на учебник производится исключительно в учебных целях для лучшего понимания разбора решения задания.

Ниже вариант решения задания из учебника Мерзляк, Номировский, Поляков 10 класс, Просвещение:
13.8. Известно, что b — положительное число. Представьте в виде куба выражение:
1) b^(1/2); 2) b^(1/3); 3) b^(-1,8); 4) b^(7/11).
