Упражнение 13.7 ГДЗ Мерзляк 10 класс Углубленный уровень (Алгебра)
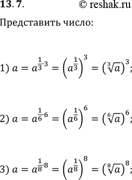
13.7. Известно, что a — положительное число. Представьте a в виде: 1) куба; 2) шестой степени; 3) восьмой степени. *Цитирирование задания со ссылкой на учебник производится исключительно в учебных целях для лучшего понимания разбора решения задания.

Ниже вариант решения задания из учебника Мерзляк, Номировский, Поляков 10 класс, Просвещение:
13.7. Известно, что a — положительное число. Представьте a в виде:
1) куба; 2) шестой степени; 3) восьмой степени.
