Упражнение 14.4 ГДЗ Мерзляк 10 класс Углубленный уровень (Алгебра)
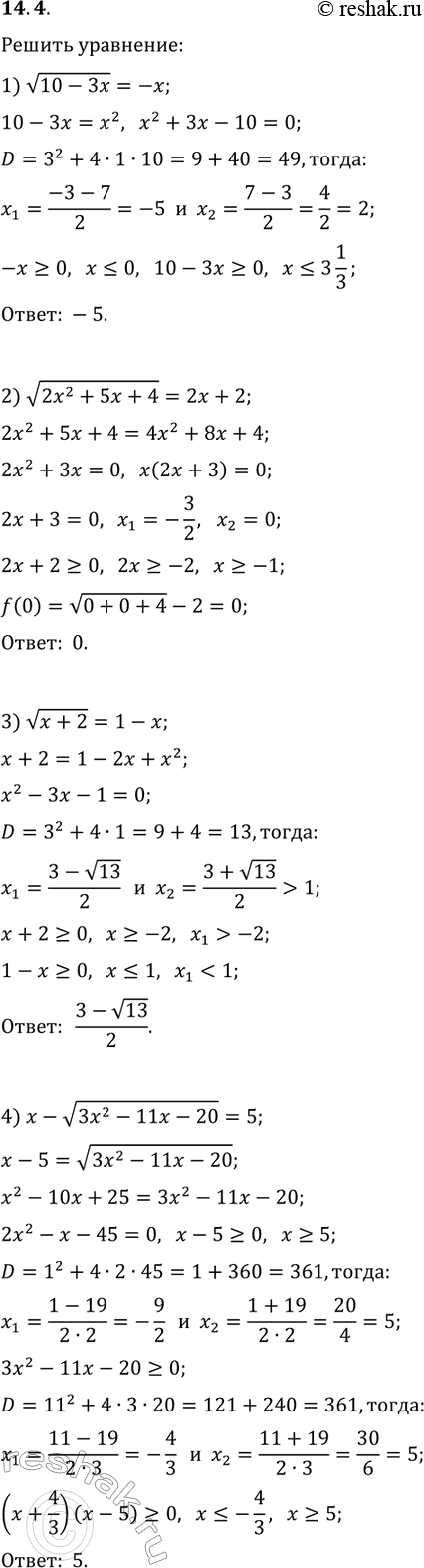
14.4. Решите уравнение: 1) v(10-3x)=-x; 3) v(x+2)=1-x; 2) v(2x^2+5x+4)=2x+2; 4) x-v(3x^2-11x-20)=5. *Цитирирование задания со ссылкой на учебник производится исключительно в учебных целях для лучшего понимания разбора решения задания.

Ниже вариант решения задания из учебника Мерзляк, Номировский, Поляков 10 класс, Просвещение:
14.4. Решите уравнение:
1) v(10-3x)=-x; 3) v(x+2)=1-x;
2) v(2x^2+5x+4)=2x+2; 4) x-v(3x^2-11x-20)=5.
