Упражнение 14.5 ГДЗ Мерзляк 10 класс Углубленный уровень (Алгебра)
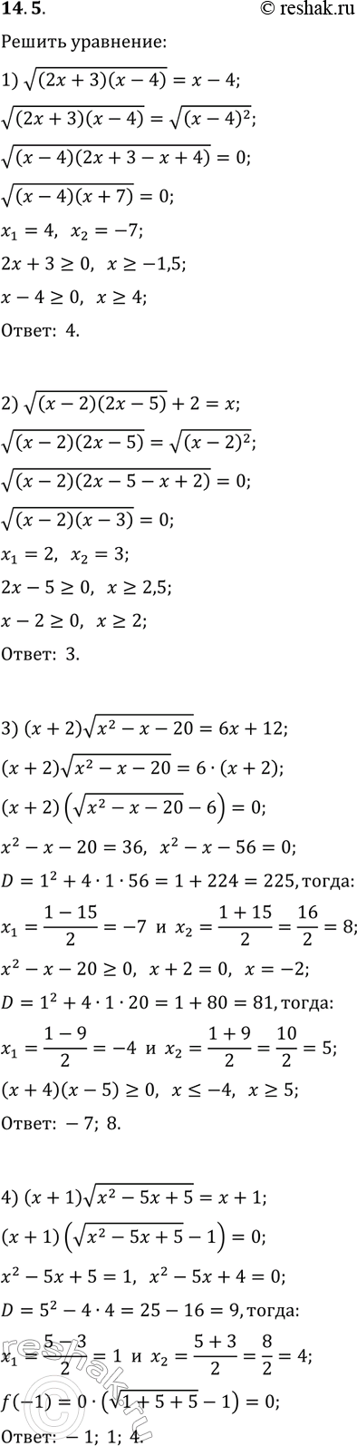
14.5. Решите уравнение: 1) v((2x+3)(x-4))=x-4; 3) (x+2)v(x^2-x-20)=6x+12; 2) v((x-2)(2x-5))+2=x; 4) (x+1)v(x^2-5x+5)=x+1. *Цитирирование задания со ссылкой на учебник производится исключительно в учебных целях для лучшего понимания разбора решения задания.

Ниже вариант решения задания из учебника Мерзляк, Номировский, Поляков 10 класс, Просвещение:
14.5. Решите уравнение:
1) v((2x+3)(x-4))=x-4; 3) (x+2)v(x^2-x-20)=6x+12;
2) v((x-2)(2x-5))+2=x; 4) (x+1)v(x^2-5x+5)=x+1.
