Упражнение 14.6 ГДЗ Мерзляк 10 класс Углубленный уровень (Алгебра)
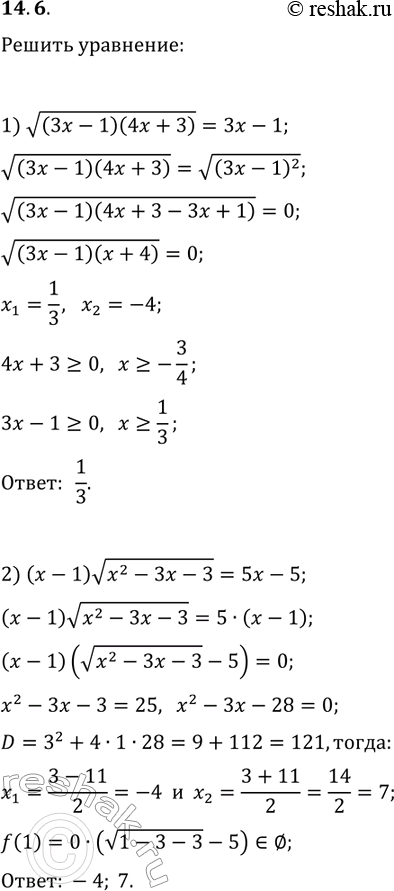
14.6. Решите уравнение: 1) v((3x-1)(4x+3))=3x-1; 2) (x-1)v(x^2-3x-3)=5x-5. *Цитирирование задания со ссылкой на учебник производится исключительно в учебных целях для лучшего понимания разбора решения задания.

Ниже вариант решения задания из учебника Мерзляк, Номировский, Поляков 10 класс, Просвещение:
14.6. Решите уравнение:
1) v((3x-1)(4x+3))=3x-1;
2) (x-1)v(x^2-3x-3)=5x-5.
