Упражнение 14.3 ГДЗ Мерзляк 10 класс Углубленный уровень (Алгебра)
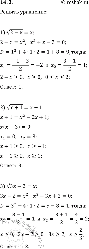
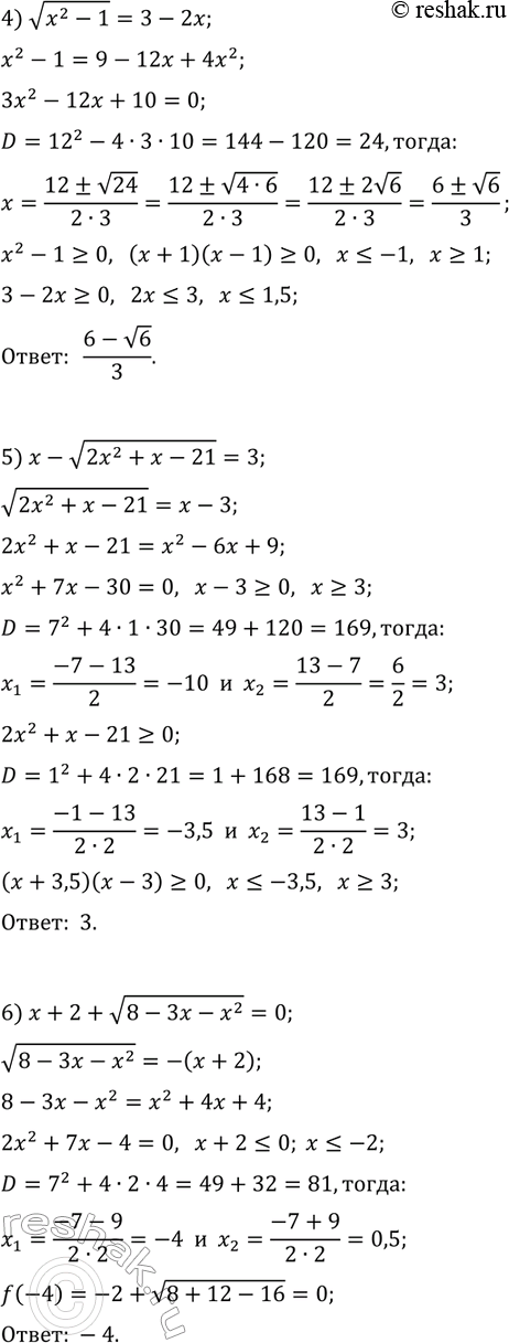
14.3. Решите уравнение: 1) v(2-x)=x; 4) v(x^2-1)=3-2x; 2) v(x+1)=x-1; 5) x-v(2x^2+x-21)=3; 3) v(3x-2)=x; 6) x+2+v(8-3x-x^2)=0. *Цитирирование задания со ссылкой на учебник производится исключительно в учебных целях для лучшего понимания разбора решения задания.


Ниже вариант решения задания из учебника Мерзляк, Номировский, Поляков 10 класс, Просвещение:
14.3. Решите уравнение:
1) v(2-x)=x; 4) v(x^2-1)=3-2x;
2) v(x+1)=x-1; 5) x-v(2x^2+x-21)=3;
3) v(3x-2)=x; 6) x+2+v(8-3x-x^2)=0.
