Упражнение 14.19 ГДЗ Мерзляк 10 класс Углубленный уровень (Алгебра)
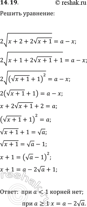
14.19. Для каждого значения параметра a решите уравнение 2v(x+2+2v(x+1))=a-x. *Цитирирование задания со ссылкой на учебник производится исключительно в учебных целях для лучшего понимания разбора решения задания.

Ниже вариант решения задания из учебника Мерзляк, Номировский, Поляков 10 класс, Просвещение:
14.19. Для каждого значения параметра a решите уравнение 2v(x+2+2v(x+1))=a-x.
