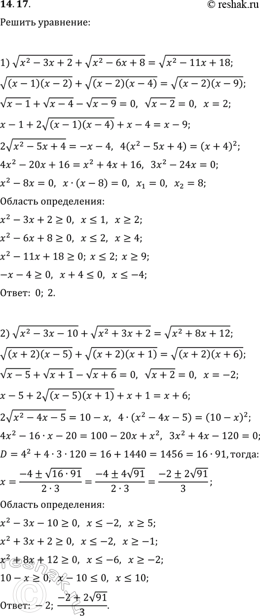
Упражнение 14.17 ГДЗ Мерзляк 10 класс Углубленный уровень (Алгебра)
14.17. Решите уравнение: 1) v(x^2-3x+2)+v(x^2-6x+8)=v(x^2-11x+18); 2) v(x^2-3x-10)+v(x^2+3x+2)=v(x^2+8x+12). *Цитирирование задания со ссылкой на учебник производится исключительно в учебных целях для лучшего понимания разбора решения задания.

Ниже вариант решения задания из учебника Мерзляк, Номировский, Поляков 10 класс, Просвещение:
14.17. Решите уравнение:
1) v(x^2-3x+2)+v(x^2-6x+8)=v(x^2-11x+18);
2) v(x^2-3x-10)+v(x^2+3x+2)=v(x^2+8x+12).
