Упражнение 14.18 ГДЗ Мерзляк 10 класс Углубленный уровень (Алгебра)
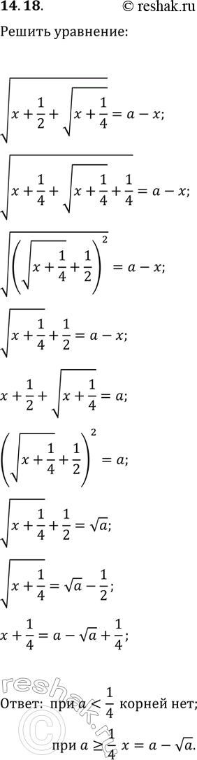
14.18. Для каждого значения параметра а решите уравнение v(x+1/2+v(x+1/4))=a-x. *Цитирирование задания со ссылкой на учебник производится исключительно в учебных целях для лучшего понимания разбора решения задания.

Ниже вариант решения задания из учебника Мерзляк, Номировский, Поляков 10 класс, Просвещение:
14.18. Для каждого значения параметра а решите уравнение v(x+1/2+v(x+1/4))=a-x.
