Упражнение 14.14 ГДЗ Мерзляк 10 класс Углубленный уровень (Алгебра)
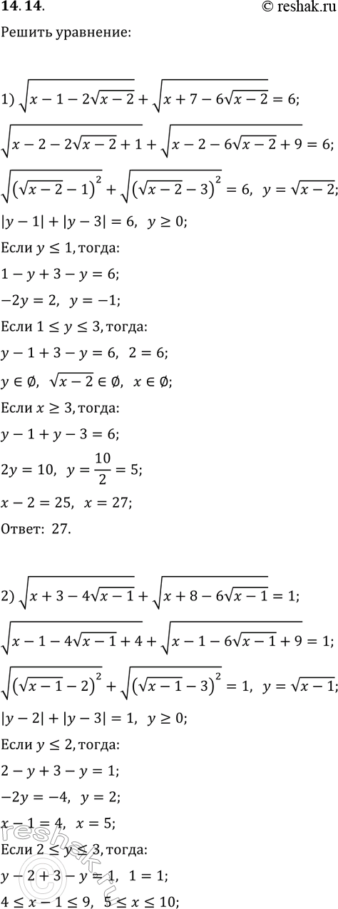
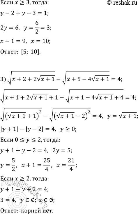
14.14. Решите уравнение: 1) v(x-1-2v(x-2))+v(x+7-6v(x-2))=6; 2) v(x+3-4v(x-1))+v(x+8-6v(x-1))=1; 3) v(x+2+2v(x+1))-v(x+6-4v(x+1))=4. *Цитирирование задания со ссылкой на учебник производится исключительно в учебных целях для лучшего понимания разбора решения задания.


Ниже вариант решения задания из учебника Мерзляк, Номировский, Поляков 10 класс, Просвещение:
14.14. Решите уравнение:
1) v(x-1-2v(x-2))+v(x+7-6v(x-2))=6;
2) v(x+3-4v(x-1))+v(x+8-6v(x-1))=1;
3) v(x+2+2v(x+1))-v(x+6-4v(x+1))=4.
