Упражнение 14.15 ГДЗ Мерзляк 10 класс Углубленный уровень (Алгебра)
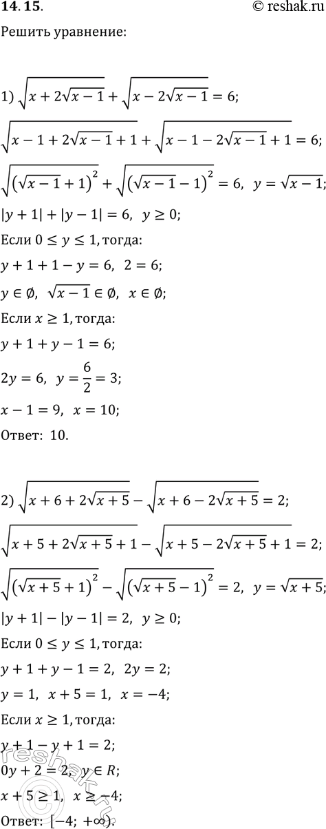
14.15. Решите уравнение: 1) v(x+2v(x-1))+v(x-2v(x-1))=6; 2) v(x+6+2v(x+5))-v(x+6-2v(x+5))=2. *Цитирирование задания со ссылкой на учебник производится исключительно в учебных целях для лучшего понимания разбора решения задания.

Ниже вариант решения задания из учебника Мерзляк, Номировский, Поляков 10 класс, Просвещение:
14.15. Решите уравнение:
1) v(x+2v(x-1))+v(x-2v(x-1))=6;
2) v(x+6+2v(x+5))-v(x+6-2v(x+5))=2.
