Упражнение 14.7 ГДЗ Мерзляк 10 класс Углубленный уровень (Алгебра)
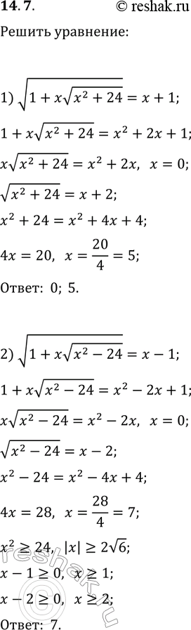
14.7. Решите уравнение: 1) v(1+xv(x^2+24))=x+1; 2) v(1+xv(x^2-24))=x-1. *Цитирирование задания со ссылкой на учебник производится исключительно в учебных целях для лучшего понимания разбора решения задания.

Ниже вариант решения задания из учебника Мерзляк, Номировский, Поляков 10 класс, Просвещение:
14.7. Решите уравнение:
1) v(1+xv(x^2+24))=x+1;
2) v(1+xv(x^2-24))=x-1.
