Упражнение 16.10 ГДЗ Мерзляк 10 класс Углубленный уровень (Алгебра)
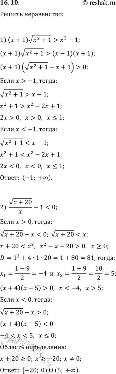
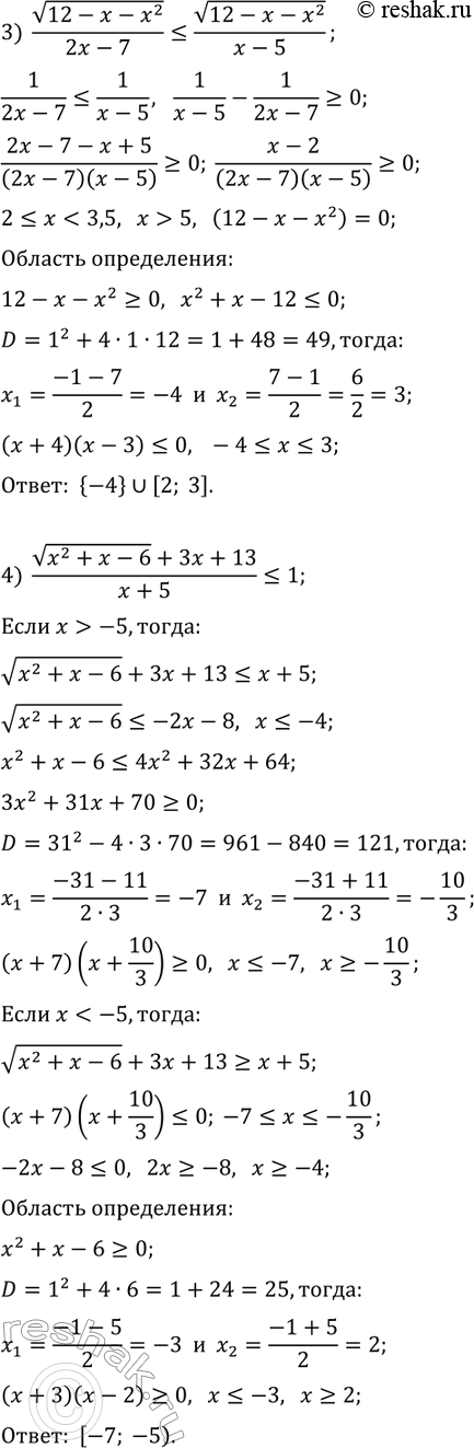
16.10. Решите неравенство: 1) (x+1)v(x^2+1) > x^2-1; 3) v(12-x-x^2)/(2x-7)?v(12-x-x^2)/(x-5); 2) v(x+20)/x-1 *Цитирирование задания со ссылкой на учебник производится исключительно в учебных целях для лучшего понимания разбора решения задания.


Ниже вариант решения задания из учебника Мерзляк, Номировский, Поляков 10 класс, Просвещение:
16.10. Решите неравенство:
1) (x+1)v(x^2+1) > x^2-1; 3) v(12-x-x^2)/(2x-7)?v(12-x-x^2)/(x-5);
2) v(x+20)/x-1
