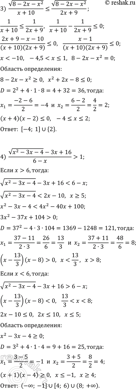
Упражнение 16.9 ГДЗ Мерзляк 10 класс Углубленный уровень (Алгебра)
16.9. Решите неравенство: 1) v(2x-1)/(x-2) 2) (1-v(1-4x^2))/x 1. *Цитирирование задания со ссылкой на учебник производится исключительно в учебных целях для лучшего понимания разбора решения задания.


Ниже вариант решения задания из учебника Мерзляк, Номировский, Поляков 10 класс, Просвещение:
16.9. Решите неравенство:
1) v(2x-1)/(x-2)
2) (1-v(1-4x^2))/x 1.
