Упражнение 16.8 ГДЗ Мерзляк 10 класс Углубленный уровень (Алгебра)
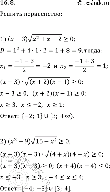
16.8. Решите неравенство: 1) (x-3)v(x^2+x-2)?0; 2) (x^2-9)v(16-x^2)?0. *Цитирирование задания со ссылкой на учебник производится исключительно в учебных целях для лучшего понимания разбора решения задания.

Ниже вариант решения задания из учебника Мерзляк, Номировский, Поляков 10 класс, Просвещение:
16.8. Решите неравенство:
1) (x-3)v(x^2+x-2)?0;
2) (x^2-9)v(16-x^2)?0.
