Упражнение 16.7 ГДЗ Мерзляк 10 класс Углубленный уровень (Алгебра)
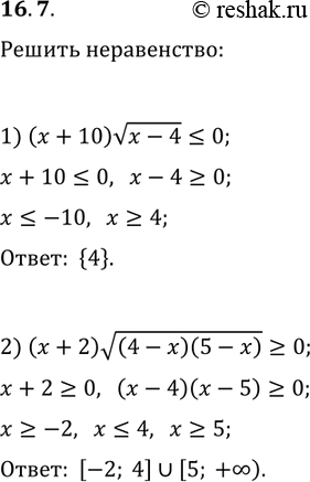
16.7. Решите неравенство: 1) (x+10)v(x-4)?0; 2) (x+2)v((4-x)(5-x))?0. *Цитирирование задания со ссылкой на учебник производится исключительно в учебных целях для лучшего понимания разбора решения задания.

Ниже вариант решения задания из учебника Мерзляк, Номировский, Поляков 10 класс, Просвещение:
16.7. Решите неравенство:
1) (x+10)v(x-4)?0;
2) (x+2)v((4-x)(5-x))?0.
