Упражнение 23.9 ГДЗ Мерзляк 10 класс Углубленный уровень (Алгебра)
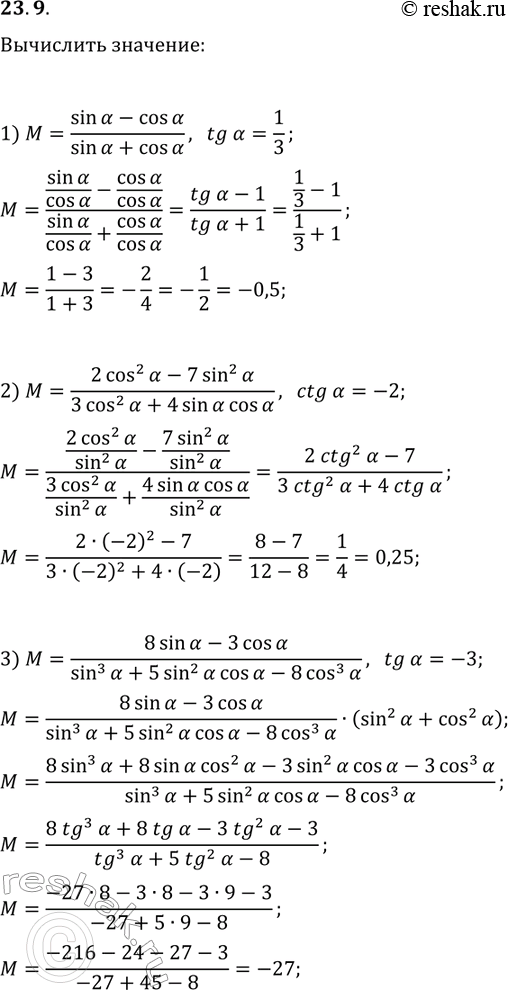
23.9. Найдите значение выражения: 1) (sin(?)-cos(?))/(sin(?)+cos(?)), если tg(?)=1/3; 2) (2cos^2(?)-7sin^2(?))/(3cos^2(?)+4sin(?)cos(?)), если ctg(?)=-2; 3) (8sin(?)-3cos(?))/(sin^3(?)+5sin^2(?)cos(?)-8cos^3(?)), если tg(?)=-3. *Цитирирование задания со ссылкой на учебник производится исключительно в учебных целях для лучшего понимания разбора решения задания.

Ниже вариант решения задания из учебника Мерзляк, Номировский, Поляков 10 класс, Просвещение:
23.9. Найдите значение выражения:
1) (sin(?)-cos(?))/(sin(?)+cos(?)), если tg(?)=1/3;
2) (2cos^2(?)-7sin^2(?))/(3cos^2(?)+4sin(?)cos(?)), если ctg(?)=-2;
3) (8sin(?)-3cos(?))/(sin^3(?)+5sin^2(?)cos(?)-8cos^3(?)), если tg(?)=-3.
