Упражнение 23.10 ГДЗ Мерзляк 10 класс Углубленный уровень (Алгебра)
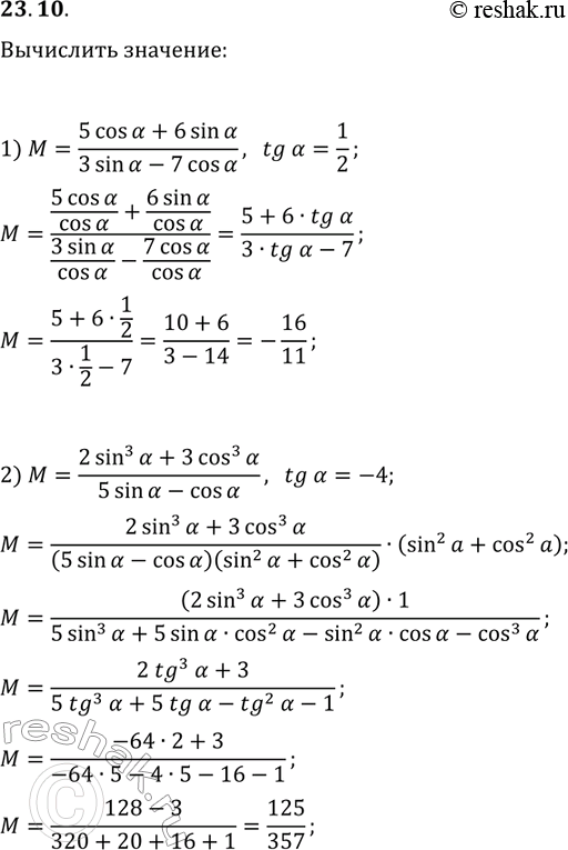
23.10. Найдите значение выражения: 1) (5cos(?)+6sin(?))/(3sin(?)-7cos(?)), если tg(?)=1/2; 2) (2sin^3(?)+3cos^3(?))/(5sin(?)-cos(?)), если tg(?)=-4. *Цитирирование задания со ссылкой на учебник производится исключительно в учебных целях для лучшего понимания разбора решения задания.

Ниже вариант решения задания из учебника Мерзляк, Номировский, Поляков 10 класс, Просвещение:
23.10. Найдите значение выражения:
1) (5cos(?)+6sin(?))/(3sin(?)-7cos(?)), если tg(?)=1/2;
2) (2sin^3(?)+3cos^3(?))/(5sin(?)-cos(?)), если tg(?)=-4.
