Упражнение 26.39 ГДЗ Мерзляк 10 класс Углубленный уровень (Алгебра)
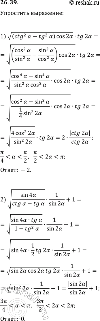
26.39. Упростите выражение: 1) v((ctg^2(?)-tg^2(?))cos(2?))·tg(2?), если ?/4 2) v(sin(4?)/(ctg(?)-tg(?)))·1/sin(2?)+1, если 3?/4 *Цитирирование задания со ссылкой на учебник производится исключительно в учебных целях для лучшего понимания разбора решения задания.
Ниже вариант решения задания из учебника Мерзляк, Номировский, Поляков 10 класс, Просвещение:
26.39. Упростите выражение:
1) v((ctg^2(?)-tg^2(?))cos(2?))·tg(2?), если ?/4
2) v(sin(4?)/(ctg(?)-tg(?)))·1/sin(2?)+1, если 3?/4

