Упражнение 27.18 ГДЗ Мерзляк 10 класс Углубленный уровень (Алгебра)
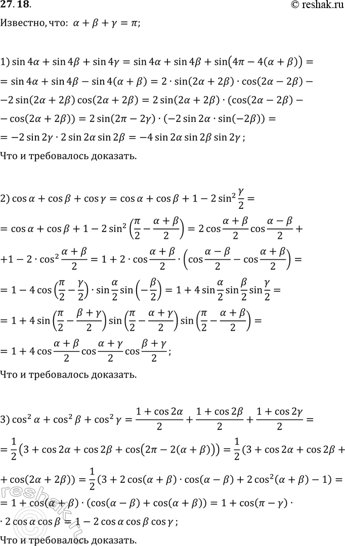
27.18. Докажите, что если ?+?+?=?, то имеет место тождество: 1) sin(4?)+sin(4?)+sin(4?)=-4sin(2?)sin(2?)sin(2?); 2) cos(?)+cos(?)+cos(?)=1+4cos((?+?)/2)cos((?+?)/2)cos((?+y)/2); 3) cos^2(?)+cos^2(?)+cos^2(?)=1-2cos(?)cos(?)cos(?). *Цитирирование задания со ссылкой на учебник производится исключительно в учебных целях для лучшего понимания разбора решения задания.

Ниже вариант решения задания из учебника Мерзляк, Номировский, Поляков 10 класс, Просвещение:
27.18. Докажите, что если ?+?+?=?, то имеет место тождество:
1) sin(4?)+sin(4?)+sin(4?)=-4sin(2?)sin(2?)sin(2?);
2) cos(?)+cos(?)+cos(?)=1+4cos((?+?)/2)cos((?+?)/2)cos((?+y)/2);
3) cos^2(?)+cos^2(?)+cos^2(?)=1-2cos(?)cos(?)cos(?).
