Упражнение 27.15 ГДЗ Мерзляк 10 класс Углубленный уровень (Алгебра)
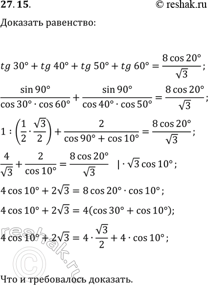
27.15. Докажите равенство tg(30°)+tg(40°)+tg(50°)+tg(60°)=8cos(20°)/v3. *Цитирирование задания со ссылкой на учебник производится исключительно в учебных целях для лучшего понимания разбора решения задания.

Ниже вариант решения задания из учебника Мерзляк, Номировский, Поляков 10 класс, Просвещение:
27.15. Докажите равенство tg(30°)+tg(40°)+tg(50°)+tg(60°)=8cos(20°)/v3.
