Упражнение 27.26 ГДЗ Мерзляк 10 класс Углубленный уровень (Алгебра)
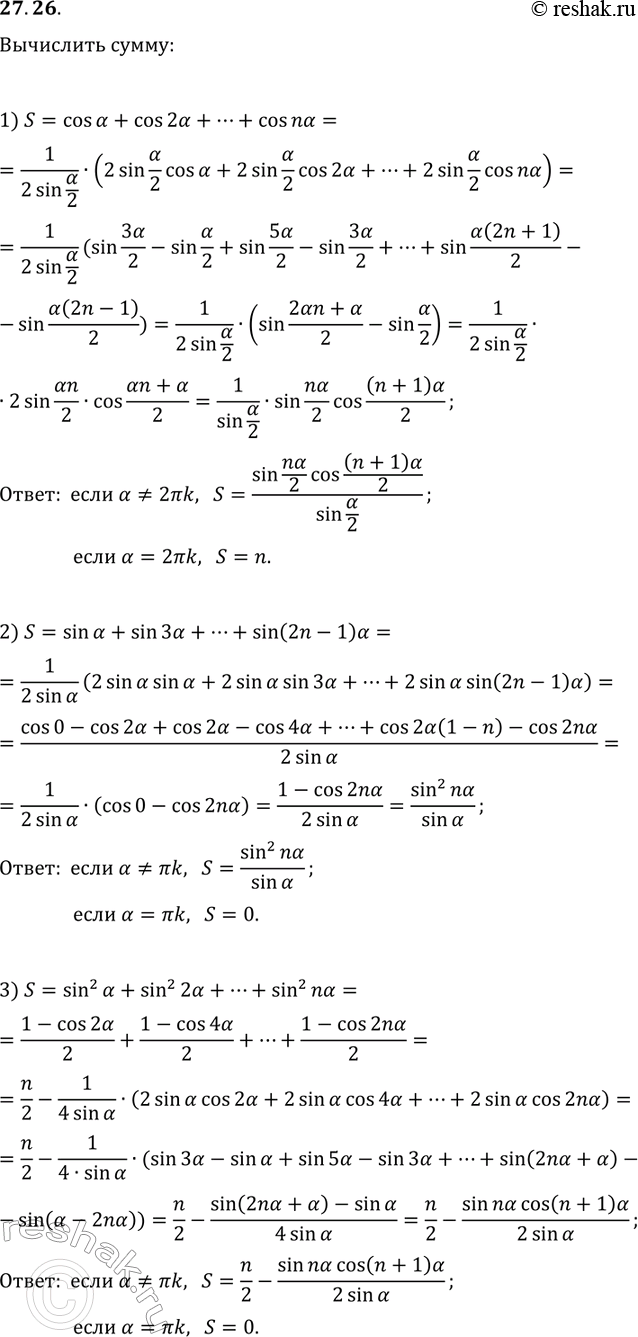
27.26. Вычислите СЃСѓРјРјСѓ: 1) S=cos(О±)+cos(2О±)+...+cos(nО±); 2) S=sin(О±)+sin(3О±)+...+sin((2n-1)О±); 3) S=sin^2(О±)+sin^2(2О±)+...+sin^2(nО±). *Цитирирование задания со ссылкой на учебник производится исключительно в учебных целях для лучшего понимания разбора решения задания.

Ниже вариант решения задания из учебника Мерзляк, Номировский, Поляков 10 класс, Просвещение:
27.26. Вычислите сумму:
1) S=cos(О±)+cos(2О±)+...+cos(nО±);
2) S=sin(О±)+sin(3О±)+...+sin((2n-1)О±);
3) S=sin^2(О±)+sin^2(2О±)+...+sin^2(nО±).
