Упражнение 27.27 ГДЗ Мерзляк 10 класс Углубленный уровень (Алгебра)
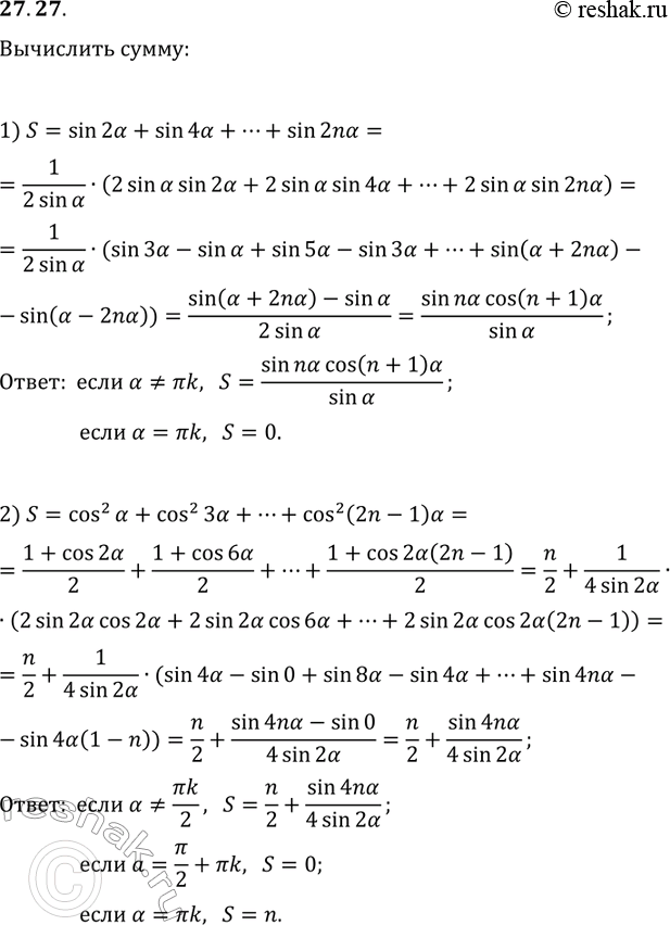
27.27. Вычислите СЃСѓРјРјСѓ: 1) S=sin(2О±)+sin(4О±)+...+sin(2nО±); 2) S=cos^2(О±)+cos^2(3О±)+...+cos^2((2n-1)О±). *Цитирирование задания со ссылкой на учебник производится исключительно в учебных целях для лучшего понимания разбора решения задания.

Ниже вариант решения задания из учебника Мерзляк, Номировский, Поляков 10 класс, Просвещение:
27.27. Вычислите сумму:
1) S=sin(2О±)+sin(4О±)+...+sin(2nО±);
2) S=cos^2(О±)+cos^2(3О±)+...+cos^2((2n-1)О±).
