Упражнение 28.2 ГДЗ Мерзляк 10 класс Углубленный уровень (Алгебра)
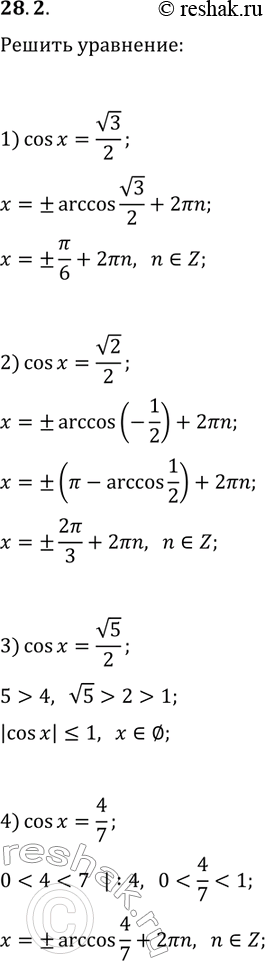
28.2. Решите уравнение: 1) cos(x)=v3/2; 3) cos(x)=v5/2; 2) cos(x)=-1/2; 4) cos(x)=4/7. *Цитирирование задания со ссылкой на учебник производится исключительно в учебных целях для лучшего понимания разбора решения задания.

Ниже вариант решения задания из учебника Мерзляк, Номировский, Поляков 10 класс, Просвещение:
28.2. Решите уравнение:
1) cos(x)=v3/2; 3) cos(x)=v5/2;
2) cos(x)=-1/2; 4) cos(x)=4/7.
