Упражнение 28.1 ГДЗ Мерзляк 10 класс Углубленный уровень (Алгебра)
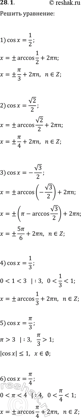
28.1. Решите уравнение: 1) cos(x)=1/2; 3) cos(x)=-v3/2; 5) cos(x)=?/3; 2) cos(x)=v2/2; 4) cos(x)=1/3; 6) cos(x)=?/4. *Цитирирование задания со ссылкой на учебник производится исключительно в учебных целях для лучшего понимания разбора решения задания.

Ниже вариант решения задания из учебника Мерзляк, Номировский, Поляков 10 класс, Просвещение:
28.1. Решите уравнение:
1) cos(x)=1/2; 3) cos(x)=-v3/2; 5) cos(x)=?/3;
2) cos(x)=v2/2; 4) cos(x)=1/3; 6) cos(x)=?/4.
