Упражнение 27.29 ГДЗ Мерзляк 10 класс Углубленный уровень (Алгебра)
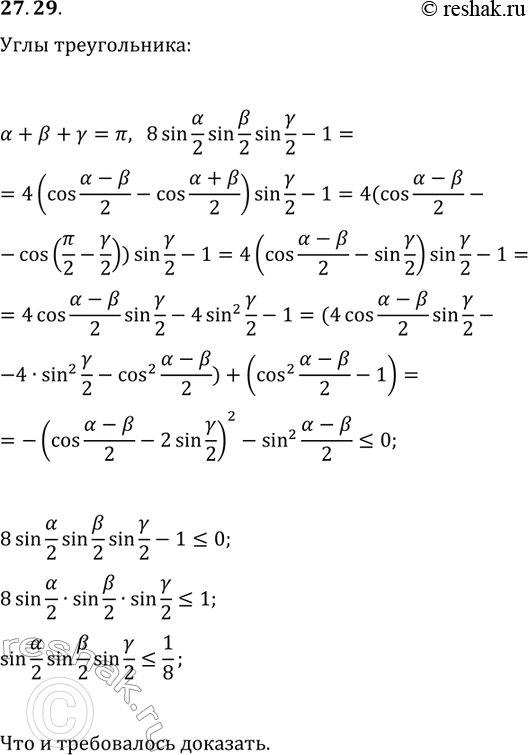
27.29. Докажите неравенство sin(?/2)sin(?/2)sin(?/2)?1/8, где ?+?+?=?. *Цитирирование задания со ссылкой на учебник производится исключительно в учебных целях для лучшего понимания разбора решения задания.

Ниже вариант решения задания из учебника Мерзляк, Номировский, Поляков 10 класс, Просвещение:
27.29. Докажите неравенство sin(?/2)sin(?/2)sin(?/2)?1/8, где ?+?+?=?.
