Упражнение 28.10 ГДЗ Мерзляк 10 класс Углубленный уровень (Алгебра)
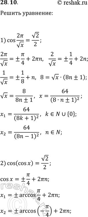
28.10. Решите уравнение: 1) cos(2?/vx)=v2/2; 2) cos(cos(x))=v2/2. *Цитирирование задания со ссылкой на учебник производится исключительно в учебных целях для лучшего понимания разбора решения задания.

Ниже вариант решения задания из учебника Мерзляк, Номировский, Поляков 10 класс, Просвещение:
28.10. Решите уравнение:
1) cos(2?/vx)=v2/2; 2) cos(cos(x))=v2/2.
