Упражнение 28.9 ГДЗ Мерзляк 10 класс Углубленный уровень (Алгебра)
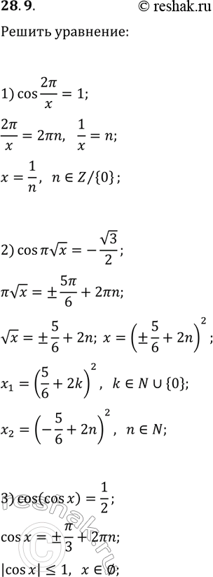
28.9. Решите уравнение: 1) cos(2?/x)=1; 2) cos(?vx)=-v3/2; 3) cos(cos(x))=1/2. *Цитирирование задания со ссылкой на учебник производится исключительно в учебных целях для лучшего понимания разбора решения задания.

Ниже вариант решения задания из учебника Мерзляк, Номировский, Поляков 10 класс, Просвещение:
28.9. Решите уравнение:
1) cos(2?/x)=1; 2) cos(?vx)=-v3/2; 3) cos(cos(x))=1/2.
