Упражнение 28.7 ГДЗ Мерзляк 10 класс Углубленный уровень (Алгебра)
28.7. Сколько корней уравнения cos(3x)=v3/2 принадлежат промежутку [-?/2; ?]? *Цитирирование задания со ссылкой на учебник производится исключительно в учебных целях для лучшего понимания разбора решения задания.
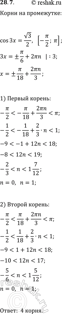
![Решение задачи: 28.7. Сколько корней уравнения cos(3x)=v3/2 принадлежат промежутку [-?/2; ?]? *Цитирирование задания со ссылкой на учебник производится исключительно в учебных целях для лучшего понимания разбора решения задания.](solutions/algebra/10/635/1-28-7.png)
Ниже вариант решения задания из учебника Мерзляк, Номировский, Поляков 10 класс, Просвещение:
28.7. Сколько корней уравнения cos(3x)=v3/2 принадлежат промежутку [-?/2; ?]?
